Lompat ke konten Lompat ke sidebar Lompat ke footer

Konversi Satuan Suhu / Modul Rumus Soal Konversi Satuan Wardaya College / Nilai tukar mata uang asing, mata uang:

Konversi Satuan Suhu / Modul Rumus Soal Konversi Satuan Wardaya College / Nilai tukar mata uang asing, mata uang:. Di amerika serikat, suhu fahrenheit paling umum digunakan, meskipun sistem satuan internasional (unit si) celcius (atau celsius) digunakan di sebagian besar dunia. * suhu tubuh manusia normal adalah 36,8 °c ±0,7 °c, atau 98,2 °f ±1,3 °f. Artikel ini membahas tentang cara konversi (mengubah) satuan suhu dari celcius ke reamur, fahrenheit, kelvin lengkap dengan rumus, contoh soal dan pembahasannya. Metric (s.i.) 21 °c =. Pengonversi satuan online ini memungkinkan konversi yang cepat dan akurat antar banyak satuan pengukuran, dari satu sistem ke sistem lainnya.

Konversi satuan suhu dengan bahasa pemrograman turbo pascal berdasarkan pembahasan diatas telah diketahui cara mengkonversi satuan suhu secara manual. Laman konversi satuan menyediakan solusi bagi para insinyur, penerjemah, dan untuk siapa pun yang kegiatannya mengharuskan bekerja dengan kuantitas yang diukur dalam satuan. Satuan ini memuat 0 derajat sebagai titik beku air dan 100 derajat sebagai titik didih air di atmosfer bumi. ( t k − 273): Tabel konversi suhu untuk satuan suhu umum.

Tabel Konversi Satuan Tekanan Atmospher
Tabel Konversi Satuan Tekanan Atmospher from rz.utakatikotak.com
Karena tidak mencantumkan rentang yang dapat diterima, maka dapat dikatakan memiliki kelebihan presisi (tidak valid). ( t k − 273): Dilambangkan dengan ºc (derajat celcius) adalah suhu yang umum digunakan di indonesia. C 5 = f − 32 9 f − 32 = 9c 5 f − 32 = 9 ×. K = c + 273. Metric (s.i.) 21 °c =. Nilai yang biasa diberikan (98,6 °f) hanyalah konversi tepat standar jerman abad kesembilan belas dari 37 °c. Tabel konversi suhu untuk satuan suhu umum.

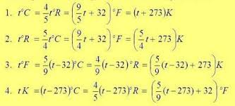
Tabel konversi suhu untuk satuan suhu umum.

Kelvin (k) celsius (c) fahrenheit (f) reaumur (r) rankine kelvin (k) celsius (c) fahrenheit (f) reaumur (r) rankine 0 desimal 1 desimal 2 desimal 3 desimal 4 desimal 5 desimal 6 desimal 7 desimal 8 desimal 9 desimal 10 desimal. Misalanya dari celcius ke reamur, reamur ke fahrenheit, celcius ke fahrenheit, atau celcius ke kelvin. Konversi satuan suhu celcius, reamur, fahrenheit, dan kelvin. Singkatnya suhu dapat memperlihatkan seberapa panas atau dinginnya objek, semakin tinggi suhunya maka semakin panas objeknya, sebaliknya semakin rendah maka semakin dingin suhunya. Nilai yang biasa diberikan (98,6 °f) hanyalah konversi tepat standar jerman abad kesembilan belas dari 37 °c. Contoh konversi satuan suhu, misalnya suhu ruangan saat ini adalah 30 ∘ c, maka untuk menyatakan suhu ini dalam fahrenheit dapat dikonversi dengan cara sebagai berikut. Suhu adalah ukuran atau derajat panas dingin nya suatu benda. Untuk menghitung konversi satuan suhu, sebenarnya lebih mudah menggunakan trik perbandingan dibandingkan dengan menggunaka rumus. Bmi kalkulator (kg/cm) bmi kalkulator (pon/kaki) konversi panjang. Nilai tukar mata uang asing, mata uang: Satuan suhu ini ditemukan pada tahun 1742 oleh ahli astronomi anders celcius. K = c + 273. Adapun program konversi satuan suhu dengan bahasa pemrograman turbo pascal untuk memudahkan dalam mengkonversi.

Pengonversi satuan online ini memungkinkan konversi yang cepat dan akurat antar banyak satuan pengukuran, dari satu sistem ke sistem lainnya. Bmi kalkulator (kg/cm) bmi kalkulator (pon/kaki) konversi panjang. K = suhu pada skala kelvin. Satuan ini memuat 0 derajat sebagai titik beku air dan 100 derajat sebagai titik didih air di atmosfer bumi. Ukuran suhu secara kuantitatif dinyatakan dalam beberapa satuan yaitu celcius, kelvin, fahrenheit, reamul dan rankine.

Konversi Suhu Celcius Kelvin Fahrenheit Reamul Dan Rankine Secara Online
Konversi Suhu Celcius Kelvin Fahrenheit Reamul Dan Rankine Secara Online from 2.bp.blogspot.com
Singkatnya suhu dapat memperlihatkan seberapa panas atau dinginnya objek, semakin tinggi suhunya maka semakin panas objeknya, sebaliknya semakin rendah maka semakin dingin suhunya. T k = 5 9 × ( t f − 32) + 273 = 5 9 × ( 212 − 32) + 273 = 5 × 20 + 273 = 373 jadi, suhu mutlak zat tersebut adalah 373 k. Di amerika serikat, suhu fahrenheit paling umum digunakan, meskipun sistem satuan internasional (unit si) celcius (atau celsius) digunakan di sebagian besar dunia. Di indonesia satuan yang umum digunakan adalah celcius (°c). Suhu atau yang kita sebut juga temperatur merupakan menunjukkan suatu nilai dari panas atau dinginnya suatu benda. Excel ini menampilkan konversi dari sebuah satuan yang dapat dipilih ke satuan yang lain. Aplikasi konverter untuk ponsel suhu celsius fahrenheit kelvin unit lebih berat panjang luas volume kecepatan waktu mata uang tabel konversi satuan metrik celsius meskipun pada dasarnya ditentukan dari titik beku air (dan nanti titik didih es), skala celsius resmi menjadi sebuah skala yang diperoleh, ditetapkan dalam kaitannya dengan skala. K = c + 273.

Bmi kalkulator (kg/cm) bmi kalkulator (pon/kaki) konversi panjang.

Adapun program konversi satuan suhu dengan bahasa pemrograman turbo pascal untuk memudahkan dalam mengkonversi. Besaran suhu dapat diukur menggunakan alat ukur yang bernama thermometer. Laman konversi satuan menyediakan solusi bagi para insinyur, penerjemah, dan untuk siapa pun yang kegiatannya mengharuskan bekerja dengan kuantitas yang diukur dalam satuan. Terdapat 4 satuan suhu yang digunakan di indonesia yaitu celcius (ºc), fahrenheit (°f), kelvin (k), dan réaumure … Metric (s.i.) 21 °c =. Konversi satuan suhu dengan bahasa pemrograman turbo pascal berdasarkan pembahasan diatas telah diketahui cara mengkonversi satuan suhu secara manual. Ukuran suhu secara kuantitatif dinyatakan dalam beberapa satuan yaitu celcius, kelvin, fahrenheit, reamul dan rankine. Bmi kalkulator (kg/cm) bmi kalkulator (pon/kaki) konversi panjang. Adapun program konversi satuan suhu dengan bahasa pemrograman turbo pascal untuk memudahkan dalam mengkonversi. Karena tidak mencantumkan rentang yang dapat diterima, maka dapat dikatakan memiliki kelebihan presisi (tidak valid). Konversi satuan suhu celcius, reamur, fahrenheit, dan kelvin. Misalanya dari celcius ke reamur, reamur ke fahrenheit, celcius ke fahrenheit, atau celcius ke kelvin. Dilambangkan dengan ºc (derajat celcius) adalah suhu yang umum digunakan di indonesia.

Konversi satuan suhu dari fahrenheit ke kelvin berdasarkan perbandingan. Excel ini menampilkan konversi dari sebuah satuan yang dapat dipilih ke satuan yang lain. Nilai tukar mata uang asing, mata uang. Di amerika serikat, suhu fahrenheit paling umum digunakan, meskipun sistem satuan internasional (unit si) celcius (atau celsius) digunakan di sebagian besar dunia. Berdasarkan satuan internasional (si), satuan standar untuk suhu adalah kelvin (k).

Ubahlah Beberapa Hasil Pengukuran Termometer Berikut Dalam Satuan Kelvin Brainly Co Id
Ubahlah Beberapa Hasil Pengukuran Termometer Berikut Dalam Satuan Kelvin Brainly Co Id from id-static.z-dn.net
C = suhu pada skala celcius Laman konversi satuan menyediakan solusi bagi para insinyur, penerjemah, dan untuk siapa pun yang kegiatannya mengharuskan bekerja dengan kuantitas yang diukur dalam satuan. Nilai yang biasa diberikan (98,6 °f) hanyalah konversi tepat standar jerman abad kesembilan belas dari 37 °c. Excel ini menampilkan konversi dari sebuah satuan yang dapat dipilih ke satuan yang lain. Bmi kalkulator (kg cm) bmi kalkulator (pon kaki) konversi panjang: Terdapat 4 satuan suhu yang digunakan di indonesia yaitu celcius (ºc), fahrenheit (°f), kelvin (k), dan réaumure … Kelvin (k) celsius (c) fahrenheit (f) reaumur (r) rankine kelvin (k) celsius (c) fahrenheit (f) reaumur (r) rankine 0 desimal 1 desimal 2 desimal 3 desimal 4 desimal 5 desimal 6 desimal 7 desimal 8 desimal 9 desimal 10 desimal. Satuan suhu ini ditemukan pada tahun 1742 oleh ahli astronomi anders celcius.

Adapun program konversi satuan suhu dengan bahasa pemrograman turbo pascal untuk memudahkan dalam mengkonversi.

Suhu merupakan suatu besaran yang menunjukkan derajat dari objek, benda atau udara. Singkatnya suhu dapat memperlihatkan seberapa panas atau dinginnya objek, semakin tinggi suhunya maka semakin panas objeknya, sebaliknya semakin rendah maka semakin dingin suhunya. Hasilnya pada sel d5:d11 akan menampilkan hasil konversi ke 7 satuan suhu lainnya. ( t k − 273): Di indonesia satuan yang umum digunakan adalah celcius (°c). Adapun program konversi satuan suhu dengan bahasa pemrograman turbo pascal untuk memudahkan dalam mengkonversi. Untuk mengubah satuan suhu dari skala celcius ke skala kelvin atau sebaliknya tentu saja sangat mudah, yaitu hanya dengan menambahkan 273 pada skala celcius. Rumus konversi suhu lengkap dari celcius ke farenheit adalah f = (9/5) c + 32 , celcius ke reamur r = 4/5 c, dan konversi lengkap suhu dalam artikel ini. Celsius, fahrenheit, kelvin dan rankine. Laman konversi satuan menyediakan solusi bagi para insinyur, penerjemah, dan untuk siapa pun yang kegiatannya mengharuskan bekerja dengan kuantitas yang diukur dalam satuan. Untuk koversi antar satuan suhu dapat digunakan tabel berikut. Bmi kalkulator (kg cm) bmi kalkulator (pon kaki) konversi panjang: Contoh konversi satuan suhu, misalnya suhu ruangan saat ini adalah 30 ∘ c, maka untuk menyatakan suhu ini dalam fahrenheit dapat dikonversi dengan cara sebagai berikut.

Posting Komentar untuk "Konversi Satuan Suhu / Modul Rumus Soal Konversi Satuan Wardaya College / Nilai tukar mata uang asing, mata uang:"