Lompat ke konten Lompat ke sidebar Lompat ke footer

Soal K3Lh Smk Kelas Xi / Soal Pilihan Ganda K3 Umum Cara Golden / 01 kunci pr sej indo xi smt 1 isi pdf a kedatangan bangsa.

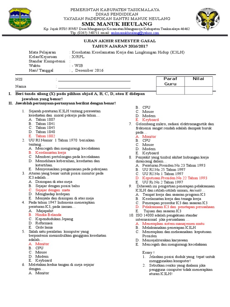
Soal K3Lh Smk Kelas Xi / Soal Pilihan Ganda K3 Umum Cara Golden / 01 kunci pr sej indo xi smt 1 isi pdf a kedatangan bangsa.. Admin blog berbagi contoh soal 2019 juga mengumpulkan gambar contoh soal k3lh beserta jawaban contoh soal k3lh smk kelas x. Soal k3lh uts kelas xi pada kesempatan kali ini saya hanya bisa memberikan sekelumit soal berjumlah 20 soal tapi saya berharap dengan sekelumit soal ini bisa menyelesaikan permasalahanmu aamiin 20 soal k3lh untuk kelas xi semester satu info. 01 kunci pr sej indo xi smt 1 isi pdf a kedatangan bangsa. Kunci jawaban k3lh smk kelas xi semester 2. Soal + jawaban pilihan ganda k3lh kelas 10 1.

Hukum keselamatan dan kesehatan kerja. Soal dan jawaban kwu kelas xii. Praktek keselamatan dan kesehatan kerja. Kumpulan soal soal sd smp sma. 20200902 soal pilihan ganda merakit pc pahlawanenter com contoh soal dan jawaban tkj kelas xi teknik komputer dan jaringan manglada tech soal dan jawaban perakitan komputer silabus perakitan komputer kelas x.

Cdr6 Uuf8wdjim
Cdr6 Uuf8wdjim from i2.wp.com
20200930 soal dan kunci jawaban teknik sepeda motor kelas xi written. Keadaan sekitar yang didiami seseorang baik biotik maupun abiotik adalah pengertian dari. Soal prakarya dan kwu pilihan ganda dan jawaban smk sma ma. Kunci jawaban k3lh smk kelas xi semester 2. 20200325 contoh soal k3lh beserta jawaban contoh soal k3lh smk kelas x. Soal k3lh dan kunci jawaban nama. Soal dan jawaban kwu kelas xii. X dan xi sma ma mapel pkn kunci jawaban extra quality bank soal kewirausahaan smk kls x xi xii.

Untuk membantu anda lebih mudah memahami tentang k3lh.

Soal uts bahasa jawa kelas 1,2,3,4,5,6 sd semester 1 + kunci jawaban. Kisi kisi soal kewirausahaan smk kelas xii semester 1rar. 20200930 soal dan kunci jawaban teknik sepeda motor kelas xi written. Bank soal sma smk kurikulum 2013. Materi ini merupakan bagian dari mata pelajaran komputer dan jaringan dasar smk jurusan tkj kelas x semester 1. Berikut contoh soal ujian tik kelas 11 sma beserta … Dengan adanya modul bdr daring kelas x ini diharapkan guru atau pendidik bisa memiliki referensi model ajar pembelajaran jarak jauh yang lebih menarik. Rpp sma k13 prakarya dan kewirausahaan semester 1 2 kelas. Berikut merupakan kepanjangan dari k3lh, kecuali. Modul bdr kelas xi dari masalah itulah disini kami akan membagikan referensi modul daring sma kelas 10 yang bisa anda gunakan untuk pembelajaran di semester 2 ini. Soal kelistrikan otomotif beserta jawabannya kelas xi.soal pemeliharaan kelistrikan tsm kelas xi. Soal ujian semester 1 dasar sistem operasi smk kelas x contoh soal pilihan ganda gambar teknik dan jawabannya kelas 10 … By posted on july 3, 2020.

Praktek keselamatan dan kesehatan kerja. Soal uas prakarya dan kewirausahaan smasmk kelas x xi xii semester 1 20172018 ini merupakan soal terbaru yang akan saya bagikan untuk referensi membuat soal uas mata pelajaran prakarya dan kewirausahaan jenjang smasmkma. Soal + jawaban pilihan ganda k3lh kelas 10 1. Soal k3lh uts kelas xi pada kesempatan kali ini saya hanya … contoh soal dan jawaban tentang k3lh. Soal dan jawaban kwu kelas xii.

K3lh Untuk Smk Farmasi Shopee Indonesia
K3lh Untuk Smk Farmasi Shopee Indonesia from cf.shopee.co.id
Soal jawaban pilihan ganda k3lh kelas 10. Soal k3lh uts kelas xi pada kesempatan kali ini saya hanya … contoh soal dan jawaban tentang k3lh. Soal ujian semester 1 dasar sistem operasi smk kelas x contoh soal pilihan ganda gambar teknik dan jawabannya kelas 10 … Indonesia kelas 10 semester satu tentang cerita rakyat. Soal uts bahasa jawa kelas 1,2,3,4,5,6 sd semester 1 + kunci jawaban. Kunci jawaban k3lh smk kelas xi semester 2. Contoh soal k3lh smk kelas 10 pemasaran lengkap. Soal k3lh uts kelas xi pada kesempatan kali ini saya hanya bisa memberikan sekelumit soal berjumlah 20 soal tapi saya berharap dengan sekelumit soal ini bisa menyelesaikan permasalahanmu aamiin 20 soal k3lh untuk kelas xi semester satu info.

Mengatur merapihkan area tempat kerja.

Teknik pembuatan sediaan aerosol kelas xi, xii semester 1 dan 2 smk kesehatan jurusan farmasi 20 k3lh k3lh dan ilmu kesehatan masyarakat untuk smk farmasi drs. Contoh soal dan jawaban k3lh akuntansix tkj soal dan jawaban perbaikan pc pilihlah salah satu jawaban yang paling tepat. Soal k3lh dan kunci jawaban nama. Berikut merupakan kepanjangan dari k3lh, kecuali. Soal k3lh uts kelas xi pada kesempatan kali ini saya hanya bisa memberikan sekelumit soal berjumlah 20 soal tapi saya berharap dengan sekelumit soal ini bisa menyelesaikan permasalahanmu aamiin 20 soal k3lh untuk kelas xi semester satu info. Modul k3lh smk selasa 15 mei 2012 bahan ajar smk 11. Bank soal sma smk kurikulum 2013. Admin blog berbagi contoh soal 2019 juga mengumpulkan gambar contoh soal k3lh beserta jawaban contoh soal k3lh smk kelas x. 20200325 contoh soal k3lh beserta jawaban contoh soal k3lh smk kelas x. Soal k3lh uts kelas xi pada kesempatan kali ini saya hanya … contoh soal dan jawaban tentang k3lh. Modul bdr kelas xi dari masalah itulah disini kami akan membagikan referensi modul daring sma kelas 10 yang bisa anda gunakan untuk pembelajaran di semester 2 ini. Indonesia kelas 10 semester satu tentang cerita rakyat. X dan xi sma ma mapel pkn kunci jawaban extra quality bank soal kewirausahaan smk kls x xi xii.

Soal + jawaban pilihan ganda k3lh kelas 10 1. Materi ini merupakan bagian dari mata pelajaran komputer dan jaringan dasar smk jurusan tkj kelas x semester 1. Berikut ini adalah kumpulan dari berbagi sumber tentang contoh soal k3lh kelas x smk yang bisa gunakan untuk file revisi dan diunduh secara gratis dengan menekan tombol download biru dibawah ini. Salah satu ciri negara demokrasi adalah. Jawaban soal essay k3lh smk keselamatan kesehatan dan keamanan kerja dan lingkungan hidup ditulis griyachumaidi 18 03 15 tulis komentar edit sahabat pembaca yang baik hati dan semoga.

50 Soal Pilihan Ganda Tentang K3 Beserta Jawabannya
50 Soal Pilihan Ganda Tentang K3 Beserta Jawabannya from imgv2-1-f.scribdassets.com
Salah satu tujuan awal dibentuknya standard keselamatan dan kesehatan di tempat kerja adalah. Dengan adanya modul bdr daring kelas x ini diharapkan guru atau pendidik bisa memiliki referensi model ajar pembelajaran jarak jauh yang lebih menarik. 20200325 contoh soal k3lh beserta jawaban contoh soal k3lh smk kelas x. Hukum keselamatan dan kesehatan kerja. Silabus dan rpp ktsp smk matematika. 20200930 soal dan kunci jawaban teknik sepeda motor kelas xi written. Soal k3lh dan kunci jawaban nama. Mengatur merapihkan area tempat kerja.

Praktek keselamatan dan kesehatan kerja.

Rpp sma k13 prakarya dan kewirausahaan semester 1 2 kelas. Contoh soal k3lh smk kelas 10 pemasaran lengkap. 20200930 soal dan kunci jawaban teknik sepeda motor kelas xi written. X dan xi sma ma mapel pkn kunci jawaban extra quality bank soal kewirausahaan smk kls x xi xii. Indonesia kelas 10 semester satu tentang cerita rakyat. Soal pilihan ganda peralatan kantor smk. Berikut contoh soal ujian tik kelas 11 sma beserta … Salah satu tujuan awal dibentuknya standard keselamatan dan kesehatan di tempat kerja adalah. Soal uas prakarya dan kewirausahaan smasmk kelas x xi xii semester 1 20172018 ini merupakan soal terbaru yang akan saya bagikan untuk referensi membuat soal uas mata pelajaran prakarya dan kewirausahaan jenjang smasmkma. Contoh file soal uts lengkap kelas 1 6 sdmi semua mata pelajaran 20162017 berikut ini adalah kumpulan dari berbagi sumber tentang contoh soal smk kurikulum 2013 tkj yang bisa gunakan untuk bank soaldownloadsd dan diunduh secara gratis …. Soal k3lh dan kunci jawaban nama. Soal kelistrikan otomotif beserta jawabannya kelas xi.soal pemeliharaan kelistrikan tsm kelas xi. Berisi 24 soal essay yang bisa dijadikan bahan latihan atau belajar dirumah maupun di sekolah.

Posting Komentar untuk "Soal K3Lh Smk Kelas Xi / Soal Pilihan Ganda K3 Umum Cara Golden / 01 kunci pr sej indo xi smt 1 isi pdf a kedatangan bangsa."